算法导论24.3 Exercises 答案
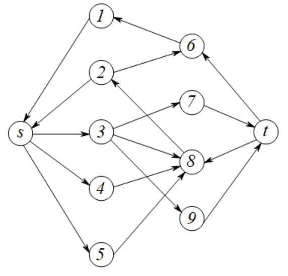
24.3-1
接下里将使用残余网络来表示这个流网络,并且由于边容量都是\(1\),因此忽略容量标记值。一开始残余网络如下:

随后运行BFS,找到了一条增广路径\((s,1,6,t)\)。由此可以对残余网络进行更新:

随后找到了一条增广路径\((s,2,8,t)\)。由此可以对残余网络进行更新:

最后找到了一条增广路径\((s,3,7,t)\),由此可以对残余网络进行更新:

此后,再也不存在增广路径,因此最大流\(|f|=3\)。,从而得到最大匹配\(|M|=3\)。
24.3-2
考虑算法FORD-FULKERSON的第3行的while循环,定义循环不变量:对于\(\forall (u,v)\in E,c_f(u,v)\)和\((u,v).f\)总是为整数。接下来证明这个循环变量成立。
初始化:一开始,所有的流\(f\)都为\(0\),由于容量只取整数值,因此所有容量\(c_f(u,v)\)都是整数,循环不变量得以成立。
保持:假设循环执行前,循环不变量保持成立,此时找到了一条增广路径\(p\)。由于\(\forall(u,v)\in E,c_f(u,v)\)都是整数,因此从第4行计算出来的\(c_f(p)\)是整数。由于对于所有边\((u,v)\)的\(f\)属性都是整数,因此对\((u,v).f\)都减去一个整数\(c_f(p)\),仍然是整数。按照方程24.2更新残余网络的每条边的容量\(c_f\),得到的仍然是整数。
终止:最终while循环停止后,所有边上的流\(f\)和残余容量\(c_f\)都是整数。
因此,最终计算出来的最大流的值\(|f|\)一定是一个整数。
24.3-3
这条增广路径的最大值为:\(2\min\{|L|,|R|\}+1\)。令\(m=\min\{|L|,|R|\}\)。接下来介绍如何构造达到这个上界的增广路径。
首先构造出图\(G=(V,E)\)。从\(L\)中取出\(m\)个节点,不失一般性,设其为\(l_1,l_2,\dots,l_m\),从\(R\)中也取出\(m\)个节点,设其为\(r_1,r_2,\dots,r_m\)。那么\(\forall i \in[1,m],(l_i,r_i)\in E;\forall j\in[1,m-1],(l_j,r_{j+1})\in E\)。对于其它节点\(u\in V-\{l_1,l_2,\dots,l_m,r_1,r_2,\dots,r_m\}\),只需要保证它们在另一部分的节点和\(u\)相连即可。最终如此构造出图\(G\)。
在前\(m-1\)轮迭代中,假设算法FORD-FULKERSON在第\(i\)轮的增广路径是\(s\rightarrow l_i\rightarrow r_{i+1}\rightarrow
t\),那么这\(m-1\)轮后,残余网络\(G_f\)包含了如下这些边:\(\{(r_{i+1},l_i)\mid
i\in[1,m-1]\}\),那么第\(m\)轮所构造的增广路径\(p\)可以如下构造:\(s\rightarrow l_m\rightarrow r_m\rightarrow
l_{m-1}\rightarrow r_{m-1}\rightarrow\dots\rightarrow r_2\rightarrow
l_1\rightarrow r_1\rightarrow t\)。
可见,上述所构造的增广路径\(p\)达到了长度\(2m+1=2\min\{|L|,|R|\}+1\)。由于增广路径\(p\)是一条简单路径,\(L,R\)中总有一部分节点已经被使用完了,无法再找到一对节点\((l,r)\)再延长路径长度,因此只能走向节点\(t\)。最终,\(p\)是所求满足条件的最长路径。